среда, 6 февраля 2013 г.

очистка диффузного сока при производстве сахара-песка

Оборудование общепромышленного применения

Введите адрес электронной почты:

- Инновации, внедрение изобретений в промышленное использование, научные разработки. - Портал ПВ.РФ.

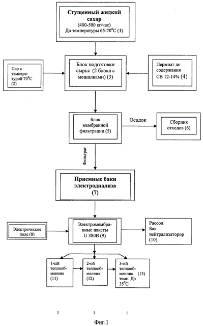
Линия по производству жидкого сахара из продуктов хранения сахаросодержащего сырья

Комментариев нет:

Отправить комментарий